NATIONAL GREEN TRIBUNAL BHOPAL (CENTRAL ZONE BENCH)
HON’BLE MR. SHEO KUMAR SINGH, J, HON’BLE DR. AFROZ AHMAD, ACJ
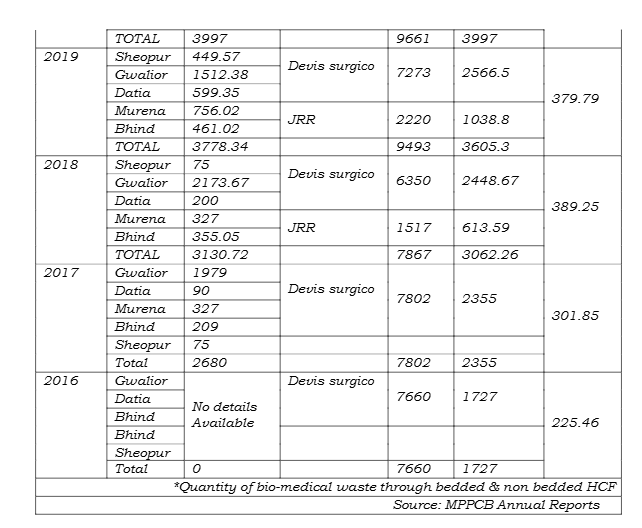
M/s Devis Surgico – Appellant
Versus
State of Madhya Pradesh – Respondent
ORDER
1. This O.A. no. 102/2024(CZ) was heard on 20.03.2025 and it was reserved for orders. In the meantime on 23.03.2025 applicant had moved an I.A. No. 46/2025 for requesting re-hearing of the case on the point of argument on certain legal matter and further moved an application i.e. I.A. No. 47/2025 for urgent hearing in another application on 24.03.2025 for re-hearing of the case. This application has been listed today.
2. Heard Learned Counsel for the respondent no. 3 Mr. Shantanoo Saxena, Learned Counsel for the applicant Mr. Shivanshu Singh, Learned Counsel for the State PCB Ms. Parul Bhadoria and Learned Counsel for the CPCB. Mr. Yadvendra Yadav have also argued the matter highlighting the CPCB guidelines.
3. This application has been moved with the following prayer :-
i. “Directions be issued to Non-Applicant No. 1 & 2 to ensure compliance of the Consent-cum-Authorization conditions issued to Non-Applicant No.3 and in case the Non-Applicant No.3 is found to be violating its conditions, appropriate action by way of rejection of Authorization as well as imposition of penalty be done at the behest of Non-Applicant No. 1 & 2 against the Non-Applicant No.3.
ii. Stringent action be t










Login now and unlock free premium legal research
Login to SupremeToday AI and access free legal analysis, AI highlights, and smart tools.
Login
now!
India’s Legal research and Law Firm App, Download now!
Copyright © 2023 Vikas Info Solution Pvt Ltd. All Rights Reserved.