IN THE HIGH COURT OF CHHATTISGARH AT BILASPUR
NARENDRA KUMAR VYAS
Lalman Sahu S/o Rugsa Sahu – Appellant
Versus
Employees Provident Fund Organization, Through Commissioner – Respondent
ORDER :
Narendra Kumar Vyas, J.
1. Since an identical issue and common question of facts and law are involved in the bunch of these writ petitions, they are heard analogously and are being decided by this common order.
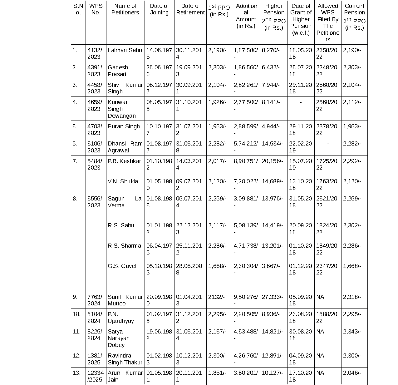
2. The petitioners have filed the present petitions challenging the legality and validity of letters issued by the respondent – Employees’ Provident Fund Organisation, Regional Office, Raipur (C.G.), whereby the respondent authority has discontinued the higher pension previously granted to them and started paying lower pension as detailed in the subsequent paragraph.
3. The petitioners have claimed following reliefs:-
(a) Issuance of direction to respondent No.1 to restore the higher pension to the petitioners and also to pay the arrears with interest @ 18% for delayed payment.
(b) The petitioners have also prayed for issuance of direction to the EPF Organisation to extend the date 26.06.2023 of filling application regarding pension on higher wages.
Or alternatively,
(c) They seek direction to the EPF Organisation to return the entire contributory amount of the petitioners along with the interest @ of 20%.
4. For the sake of convenience, facts of WPS No. 4132 of 2023 are take

R.C. Gupta and Others vs. Regional Provident Fund Commissioner and Others {
The Employees Provident Fund Organisation & Anr. vs. Sunil Kumar B. & Ors.
Amendments to the Employees' Pension Scheme cannot impose retrospective cut-off dates for exercising pension options, affirming beneficiaries' rights established prior to amendments.
Retired employees must exercise necessary options under the EPF Scheme to claim pensions based on actual salary; failure to do so limits pension to statutory ceiling.
Employees of exempted establishments are entitled to pension benefits under the EPS 1995 based on actual salary, as clarified by the Supreme Court.
Employees retiring after amendments can exercise options for higher pensions within extended timelines, regardless of exit dates from the pension scheme.
Login now and unlock free premium legal research
Login to SupremeToday AI and access free legal analysis, AI highlights, and smart tools.
Login
now!
India’s Legal research and Law Firm App, Download now!
Copyright © 2023 Vikas Info Solution Pvt Ltd. All Rights Reserved.