IN THE HIGH COURT OF DELHI AT NEW DELHI
SACHIN DATTA
Sh. Mukul Mittal – Appellant
Versus
Sr. Superintendent Policy Regional Passport Office – Respondent
JUDGMENT :
SACHIN DATTA, J.
1. These petitions involve a common issue viz., issuance of passports to persons facing ongoing criminal proceedings.
W.P.(C) 6612/2025
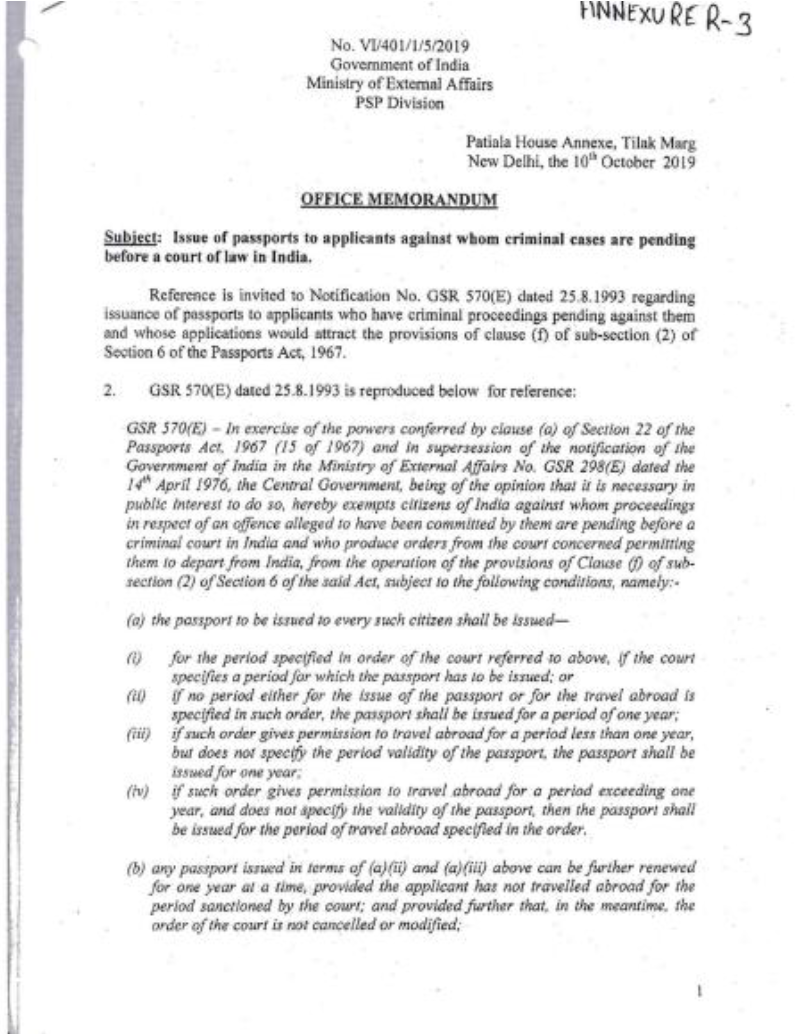
2. The petitioner is challenging the order dated 27.02.2025 passed by the respondent, whereby the petitioner’s request for renewal of his passport was rejected. The rejection is founded on the basis that, in the absence of an order from the competent court specifically permitting the petitioner to ‘depart from India’, his renewal application could not be considered. Order dated 27.02.2025 is reproduced as under –
“In reference to your passport application number DLF070662575025 wherein you have submitted the orders dated 03.02.2025 passed by the Ld. Court of Link Judicial Magistrate First Class 01, Patiala House Courts, New Delhi in connection with File No. 574/CE/159/2019/INV/21442 and Complaint Case No. 9545/2020, this office has perused the same and found that the Hon'ble Court has given No Objection if passport is renewed as per rules for the full term of 10 years.
2. It is submitted that in view of Section 6 (2)(1) of the PASSPORT ACT , 1967, the Passport Authority is empowered to refuse the issuance of a passport or tra













The court clarified that individuals facing criminal proceedings can obtain passport renewals based on trial court permits, without needing a separate order to depart from India, affirming the limita....
The Supreme Court clarified that the right to renew a passport is not absolute when criminal proceedings are pending, as long as judicial permissions are in place to regulate travel, ensuring the bal....
The renewal of a passport must follow the same procedures as a fresh application, particularly regarding pending criminal proceedings, necessitating court permission per the Passports Act.
Pendency of criminal proceedings bars the re-issuance of a passport under Section 6(2)(f) of the Passports Act, 1967; exceptions are subject to specific court orders.
The denial of passport renewal due to pending criminal proceedings is justified under Section 6(2)(f) of the Passports Act, 1967, applicable to all forms of passport issuance.
The issuance of a passport during the pendency of a criminal case is at the discretion of the court and depends on various factors such as the nature of the alleged offense and the stage of the trial....
Ongoing criminal proceedings can bar regular passport issuance under Section 6(2)(f) of the Passports Act, while allowing for a short validity passport contingent on court approval.
The right to travel abroad is a fundamental right under Articles 19 and 21 of the Constitution, and passport issuance must consider relevant legal notifications and judicial discretion.
Login now and unlock free premium legal research
Login to SupremeToday AI and access free legal analysis, AI highlights, and smart tools.
Login
now!
India’s Legal research and Law Firm App, Download now!
Copyright © 2023 Vikas Info Solution Pvt Ltd. All Rights Reserved.