IN THE HIGH COURT OF DELHI AT NEW DELHI
JASMEET SINGH
Union of India – Appellant
Versus
Rama Constructions Company – Respondent
JUDGMENT :
JASMEET SINGH
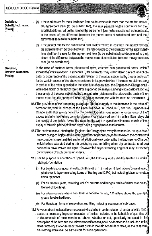
1. This is a petition filed under Section 34 of the Arbitration and Conciliation Act, 1996 (“the Act”) seeking to challenge the Arbitral Award dated 16.07.2014 (“Award”) passed by the learned Sole Arbitrator, to the extent of claims awarded in respect of claim Nos. 1, 2, 4, 6, 8, 10, 11 and 12.
FACTUAL MATRIX AS PER THE PETITIONER
2. The petitioner i.e. Union of India, floated a tender dated 22.02.2008 for execution of civil and electrical works with respect to one Hostel/Media accommodation block in Jawaharlal Nehru Stadium Complex, New Delhi. The cost of tender was stated to be Rs. 9,04,12,196/- inclusive of (Civil) Rs. 7,87,88,437/- and (Electrical) Rs. 1,16,23,759/- respectively, the assigned tender amount being Rs.10,15,48,230/-.
3. The respondent, namely M/s Rama Constructions Company applied for the said tender and was awarded the same. Pursuant thereto, a letter of acceptance was signed on 05.04.2008. As per the Contract Agreement (“ CA ”) the respondent was to complete the entire project within a time frame of 9 months with stipulated dates for commencement and completion of the project being 27.04.2008 and 26.01.2009, respectively.
4. For the sake of



Steel Authority of India Ltd. v. J.C. Budharaja, Government and Mining Contractor
W.B. State Warehousing Corporation and Anr. v. Sushil Kumar Kayan and Ors.
Bharat Coking Coal Ltd. v. Annapurna Construction
Food Corporation of India v. Chandu Constructions
Associate Builders v. Delhi Development Authority
Ssangyong Engineering & Construction Co. Ltd. v. National Highways Authority of India (NHAI)
M/s Hyder Consulting U.K. Ltd. v. Governor of Orissa
Delhi Airport Metro Express (P) Ltd. v. Delhi Metro Rail Corporation Limited
OPG Power Generation (P) Ltd. v. Enexio Power Cooling Solutions (India) (P) Ltd.
UHL Power Company Ltd. v. State of Himachal Pradesh
The court affirmed the limited scope of review under Section 34 of the Arbitration and Conciliation Act, emphasizing respect for arbitral awards unless stark violations of public policy or procedural....
The court upheld the Arbitrator's findings that the rescission of the contract was unjust and delays were primarily attributable to the petitioner, affirming the award under Section 34 of the Arbitra....
The court emphasized the requirement for the arbitrator to assign reasons in support of the award and the limited scope of interference by the court in arbitration awards.
The court confirmed the validity of the Arbitrator's findings regarding excess work claims and the correct application of interest, highlighting that overlapping interest claims were erroneous.
Judicial review of arbitral awards is limited; courts should not interfere unless there is clear evidence of perversity or violation of public policy.
The main legal point established in the judgment is the correct interpretation and application of contractual provisions in arbitration disputes.
The court affirmed that arbitral awards challenging under Sections 34 and 37 are limited in scope, requiring clear evidence of illegality or perversion; otherwise, the Arbitrator's decision stands.
An arbitral award must stay within the bounds of the arbitration agreement; claims exceeding this scope can be annulled, underscoring limited judicial interference in arbitration matters.
Login now and unlock free premium legal research
Login to SupremeToday AI and access free legal analysis, AI highlights, and smart tools.
Login
now!
India’s Legal research and Law Firm App, Download now!
Copyright © 2023 Vikas Info Solution Pvt Ltd. All Rights Reserved.